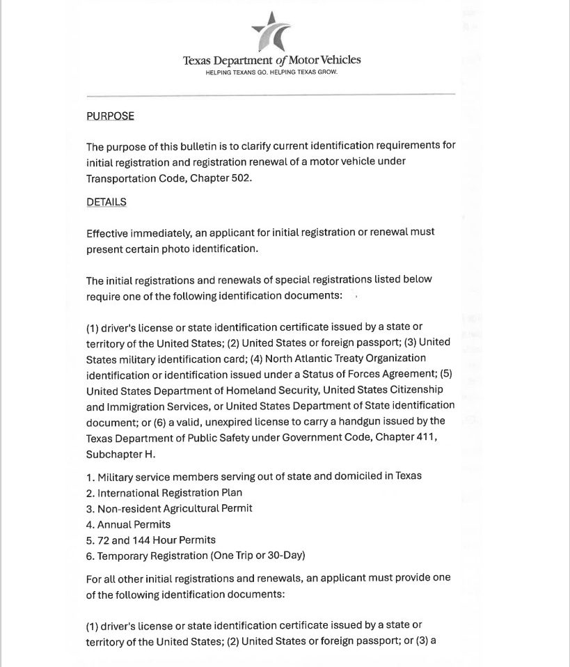
Rockwall, TX- November 24, 2025 – All tax offices in Texas were notified last week by the Texas Department of Motor Vehicles (TxDMV) that a valid ID is now required to register or renew your vehicle registration. This requirement applies whether you visit our offices in person or mail in your registration. If you choose to mail your registration, please be sure to include a copy of your valid ID.
The Real ID Act of 2005, Public Law 109-13, was enacted in response to the September 11 attacks and requires states to issue driver’s licenses and identification cards that meet federal standards for identification purposes.
Vehicle Registration: Starting May 7, 2025, only REAL ID-compliant driver’s licenses will be accepted for federal identification, including vehicle registration.
Minimum Requirements: States must issue identification cards that include a digital photograph, full legal name, date of birth, and other security features.
State Compliance: States must verify the issuance and validity of the documents presented to ensure they meet federal standards https://www.congress.gov/bill/109th-congress/house-bill/418
For more detailed information, you can refer to the official text of the REAL ID Act.

Press release submitted by Jim Barto, Rockwall County, edited for publication in Blue Ribbon News. Courtesy photos.




